Importante
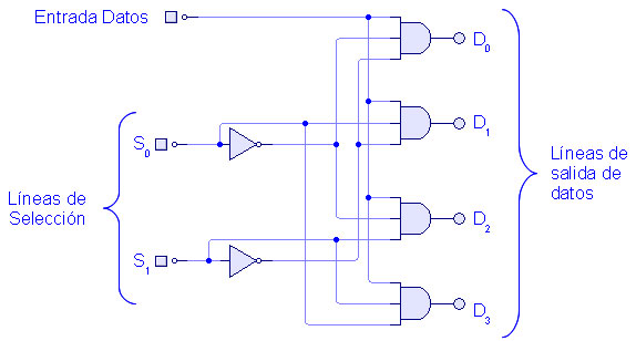
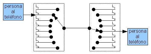
Los demultiplexores realizan la función opuesta a un multiplexor. Es decir tiene una única entrada de datos, n entradas de selección y un números de salidas <2n, de modo que según introduzcamos una combinación u otra por las entradas de selección, así conseguimos comunicar la entrada de datos con la salida seleccionada.

Los demultiplexores se pueden utilizar como decodificadores, de binario a decimal o a hexadecimal. Si se coloca en las entradas de selección (address) un número binario, se obtiene en la salida seleccionada el estado correspondiente que tengamos en la entrada de datos.

