Antes de empezar, te presentamos las direcciones de tres páginas en las que nos habla de mecanismos. Son conceptos muy sencillos, pero algunas veces las cosas sencillas nos hacen entender mejor los conceptos. En ellas dispones también de sencillos ejercicios con los que practicar para realizar cálculos.
Como verás, en estas páginas tienes información sobre todos los elementos de transmisión del movimiento que vamos a ver en esta unidad: poleas, ruedas de fricción y engranajes. Puedes utilizarlas cuando lo creas necesario.
Como veíamos al principio del tema, el hombre siempre ha tratado de encontrar formas de transmitir movimientos de un lugar a otro y, al mismo tiempo, transformar sus características: obtener movimientos con más o menos velocidad, o con más o menos potencia.
Una forma de transmisión de movimiento es a través de sistemas de poleas.
Transmisión por correa y poleas
Un sistema de transmisión por correa es un conjunto de dos poleas acopladas por medio de una correa con el fin de transmitir fuerzas y velocidades angulares entre árboles paralelos que se encuentran a una cierta distancia.
La fuerza se transmite por efecto del rozamiento que ejerce la correasobre la polea.
POLEAS
Las poleas no son más que una rueda (llanta) con un agujero en su centro para acoplarla a un eje en torno al cual giran. Para asegurar el contacto entre polea y correa se talla en la polea un canal o garganta que "soporta" a la correa.
En un sistema de transmisión de poleas son necesarias dos de ellas:
una conductora, de entrada o motora, que va solidaria a un eje movido por un motor.
otra conducida, de salida o arrastrada, también acoplada a un eje y que es donde encontraremos la resistencia que hay que vencer.
En la imagen de la derecha vemos como se representa un sistema de transmisión de movimiento por poleas.
Importante
El movimiento que se transmite a la rueda conducida tiene el mismo sentido que el movimiento de la rueda conductora, mientras que su módulo, como veremos más adelante, depende de los diámetros de las poleas.
Si nos interesa que el sentido de giro transmitido se invierta, deberemos cruzar la correa.
Imagen 27. Focus educational. Copyright.
Imagen 28. Focus educational. Copyright.
TRANSMISIÓN POR CORREA
Como hemos visto, la fuerza que transmiten las poleas es debida al rozamiento que ejerce la correa sobre la polea, por lo que la correa es un elemento decisivo en este sistema de transmisión de movimiento.
La correa en su funcionamiento está sometida a esfuerzos. Pero sus dos tramos no soportan los mismos esfuerzos; el tramo que va de la rueda motriz la conducida se encuentra flojo, mientras que el otro está totalmente tenso.
Suelen estar fabricadas de caucho resistente al desgaste y reforzadas con cuerdas para mejorar el comportamiento a tracción.
Las correas pueden ser de distintos tipos:
Trapezoidales: Son las más utilizadas, pues se adaptan firmemente al canal de la polea evitando el posible deslizamiento entre polea y correa.
Redondas: Se utilizan correas redondas cuando ésta se tiene que adaptar a curvas cerradas cuando se necesitan fuerzas pequeñas.
Planas: Cada vez de menor utilización, se emplean para transmitir el esfuerzo de giro y el movimiento de los motores a las máquinas.
Dentadas: Las correas dentadas, que además son trapezoidales, se utilizan cuando es necesario asegurar el agarre. En ellas el acoplamiento se efectúa sobre poleas con dientes tallados que reproducen el perfil de la correa. Este tipo es el más empleado en las transmisiones de los motores de los automóviles.
Imagen 29. Focus educational. Copyright.
Imagen 30. Focus educational. Copyright.
Imagen 31. Focus educational. Copyright.
Imagen 32. Focus educational. Copyright.
El proceso de transmisión del movimiento con correa es un proceso de elevado rendimiento (95-98%) y precio reducido.
Eso hace que esos mecanismos sean muy empleados en distintos aparatos: electrodomésticos (neveras, lavadoras, lavavajillas...), electrónicos (disqueteras, equipos de vídeo y audio,...) y en algunos mecanismos de los motores térmicos (ventilador, distribución, alternador, bomba de agua...)
Volvemos a repetir que la finalidad de estos sistemas de transmisión es transmitir movimientos de un lugar a otro pero, sobre todo, modificar sus características: su velocidad y, como consecuencia, la fuerza que puede desarrollar. A continuación vamos a ver la ecuación que nos determina cómo varía la velocidad en esta transmisión.
Importante
Ecuación fundamental de velocidades para transmisiones por correa.
Ø1·n1 = Ø2·n2
Donde: Ø1es el diámetro de la polea motriz y n1 su velocidad de giro
y Ø2 y n2 son el diámetro y a velocidad de la polea conducida.
Importante
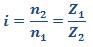
Ecuación de la relación de transmisión (i)
La relación de transmisión es la relación que existe entre la velocidad de giro del árbol motor y la velocidad del árbol resistente.
AV - Pregunta de Elección Múltiple
En un sistema de transmisión por correa:
Se transmite movimiento entre ejes paralelos.
Se transmite movimiento entre ejes perpendiculares.
Se transmite movimiento entre ejes paralelos o perpendiculares según esté conectada la correa.
Si. Eso es.
No. El movimiento se transmite entre ejes paralelos.
No. El cómo esté conectada la correa influye en el sentido de giro de la rueda conducida.
Las poleas conductora y conducida son:
La conducida la que recibe el movimiento del motor, por eso decimos que es conducida.
La conductora es la que va acoplada al eje motor y la conducida no va acoplada a ningún eje.
La conductora es la que recibe el movimiento del motor y la conducida la que recibe el movimiento de la conductora.
No. La que recibe el movimiento del motor es la conductora y se lo transmite a la conducida.
No. Ambas deben ir sostenidas por un eje.
Si. Así es.
La correa utilizada en la transmisión:
Es la que, por el rozamiento con la polea, transmite el movimiento.
Suele patinar en la polea al estar hecha de caucho.
Soporta diferentes esfuerzos en sus tramos, lo que hace que se transmita el movimento.
Si. Correcto.
No. Está hecha de caucho para que no patine. Además, si patinara, no podría transmitir el movimiento.
No. Soporta diferentes esfurzos, pero esa no es la razón de que transmita el movimento.
Ejemplo o ejercicio resuelto
Se desea transmitir movimiento, con el mismo sentido de giro, entre dos ejes paralelos situados a 60 cm de distancia. Para ello se emplean dos poleas, una motora, de 15 cm de diámetro y que tiene el eje de entrada unido solidariamente a un motor eléctrico que gira a 1200 rpm, y una conducida de 45 cm de diámetro.
Calcula la relación de transmisión de velocidad.
Utilizaremos la expresión que nos determina i. Como los datos que conocemos son los diámetros, utilizaremos la segunda parte de la expresión.
Sustituimos los datos del problema y ya tenemos la solución
¿A qué velocidad gira el eje conducido?
Para determinar la velocidad del eje conducido, utilizamos la ecuación de las velocidades:
donde lo que queremos conocer es n2
y sustituyendo los valores:
¿Qué longitud de correa se necesita?
Para calcular la longitud de la correa tendremos que sumar los tramos azul, verde y naranja de la figura.
Los tramos azul y verde coinciden con media circunferencia, y para calcular la longitud de los tramos naranjas, l, no hay más que aplicar Pitágoras al triángulo que hemos marcado, donde un cateto corresponde a la distancia entre los ejes de las poleas (60 cm = 600 mm) y el otro a la diferencia de los radios de éstas (225 mm - 75 mm = 150 mm).
Y sustituyendo:
Cuando se necesitan grandes relaciones de transmisión se recurre a montar trenes de poleas, que son una sucesión de transmisiones, es decir, pares de poleas enlazadas sucesivamente.
Con las transmisiones de poleas se pueden conseguir cajas de velocidades entre dos árboles paralelos que monten varios pares de poleas escalonadas. Es necesario mantener constantes la velocidad de giro del árbol motor y la longitud de la correa.
Este es el caso de los taladros de mesa, en los que, con poleas de distinto diámetro, se pueden conseguir velocidades de salida diferentes.
Un tren de poleas está constituido por tres escalonamientos, en los que las poleas motoras tienen unos diámetros de 10, 20 y 30 mm. Y las tres poleas conducidas 40, 50 y 60 mm. Si lo arrastra un motor que gira a una velocidad de 3000 rpm, calcula:
a) La relación de transmisión del mecanismo.
La expresión para calcular la relación de transmisión era:
Como los datos que conocemos son los diámetros de las polea, usaremos la parte última de la ecuación:
En nuestro problema, al tratarse de un tren de poleas, tenemos más de una rueda conductora y una conducida. En este caso, la fórmula se aplica poniendo en el numerador el producto de los diámetros de todas las ruedas conductoras y en el denominador el producto de los diámetros de todas las ruedas conducidas.
Sustituyendo los valores de nuestro problema:
Fíjate en que, como tanto en el numerador como en el denominador de la expresión aparecen las mismas magnitudes, no importa en que unidades pongamos los diámetros, siempre que sean las mismas. Fíjate también en que la relación de transmisión no tiene unidades.
b) La velocidad del eje de salida.
Para calcular la velocidad del eje de salida volvemos a utilizar la expresión de la relación de transmisión, pero ahora nos interesa la parte de las velocidades.
En nuestro problema, al tratarse de un tren de poleas, n2 se referirá a la velocidad de la última rueda de salida (es decir, a la rueda 6) y n1 a la primera rueda de entrada o motriz (a la rueda 1).
Despejaremos n6 y sustituimos valores
Las unidades en que hemos obtenido la velocidad es la misma en que estaba la de entrada; en este caso rpm.
Ejemplo o ejercicio resuelto
Se dispone de un tren de poleas con tres escalonamientos, en el que el diámetro de las poleas motoras es de 150 mm y el de las conducidas de 300 mm. El motor funciona a un régimen de 1.000 rpm.
Calcula la velocidad del último árbol.
Para resolver este ejercicio tienes dos opciones: calcular primero la relación de transmisión como hemos hecho en el ejercicio anterior y con ella calcular la velocidad que te piden o calcular directamente esa velocidad.
Si eliges la primera opción, lo harás igual que en el ejercicio anterior.
Si eliges la segunda utilizaremos la expresión , donde el subíndice 1 correspondía al árbol motriz y el subíndice 2 al árbol de salida.
Entonces:
Pero como se trata de un tren de engranajes, en el numerador de la fracción habrá que poner el diámetro de todas las ruedas motrices y en el denominador el diámetro de todas las ruedas conducidas.
Sustituyendo los valores se obtiene que n6 = 125 rpm
Calcula la relación de transmisión de velocidad total.
Para calcular la relación de transmisión usamos su definición: el cociente entre la velocidad del árbol de salida y la velocidad del árbol de entrada.
Y sustituyendo valores obtenemos que i = 0.125
Ejemplo o ejercicio resuelto
La cinta transportadora representada en la figura debe girar a 5 rpm. El eje del motor, que gira a una velocidad de 3000 rpm y cuyo diámetro mide 2 mm, está conectado a una polea de 100 mm de diámetro. Sobre el eje de ésta se monta una nueva polea de 8 mm de diámetro que se une, mediante una correa, a la polea que arrastra a la cinta.
Calcula el diámetro de la polea que arrastra al eje de la cinta transportadora.
El diámetro de la polea que arrastra al eje de la cinta transportadora ha de ser de 96 mm.
TRANSMISIÓN POR CADENA
La transmisión por cadena es similar a la transmisión por correa. Se efectúa también entre árboles paralelos, pero en este caso, engarzando los dientes de un piñón con los eslabones de una cadena; el acoplamiento entre cadena y dientes se efectúa sin deslizamiento y engranan uno a uno.
Se emplea cuando se tienen que transmitir grandes potencias con relaciones de transmisión reducidas.
Ecuación fundamental de velocidades y relación de transmisión para transmisiones por cadena.
La relación de transmisión es igual que en los sistemas por correa, siendo ahora los diámetros de las ruedas unas circunferencias imaginarias que pasan por el centro de los pasadores de los eslabones de la cadena.
Así, en lugar de aplicar la fórmula respecto al diámetro, se hace respecto al número de dientes de las ruedas. Llamando Z1 al número de dientes de la rueda motora y Z2 al de la conducida, se tiene que cumplir:
n1 · Z1 = n2 · Z2
Y la relación de transmisión (i) se define como:
AV - Pregunta de Elección Múltiple
La transmisión por cadena:
Puede transmitir más potencia que la de correa.
Presenta más problemas de deslizamiento.
No permite relaciones de transmisión pequeñas.
Si. Esa es una de las principales razones del uso de cadenas.
No. Al contrario, al engarzar los dientes del piñón con los eslabones de la cadena, no existe deslizamiento. El único riesgo es que la cadena se salga.
No. Es cuando necesitamos relaciones de transmisión pequeñas cuando usamos transmisión por cadena.
Para calcular i en una transmisión por cadena:
Utilizamos la misma expresión que cuando es por correa.
Utilizamos la misma expresión que cuando es por correa, sustituyendo diámetros por número de dientes.
Utilizamos la misma expresión que cuando es por correa, pero expresando la velocidad en rad/s en lugar de en rpm.
No. No es la misma.
Si. Debemos poner el número de dientes ya que ahora las poleas son dentadas.
No. Las unidades son indiferentes.
Ejemplo o ejercicio resuelto
Un ciclista lleva montada una relación de cambio de marchas 50/20 y pedalea con una cadencia de 40 rpm. El diámetro de la rueda trasera es de 70 cm.
La relación de transmisión ya nos la daba el enunciado:50/20.
No tenemos, pues, sino aplicar la fórmula:
Tendremos
Calcula la velocidad a la que circula.
La relación entre velocidad de giro y de avance era:
No tenemos más que sustituir, pero teniendo cuidado con las unidades; la velocidad de giro en rad/s y el radio en m.
Hemos dado la velocidad también en km/h porque son las unidades que habitualmente usamos, y así nos hacemos a la idea de si va muy despacio o muy deprisa, algo más de 13 km/h, muy despacito.