3.2. Transmisión por ruedas de fricción.
Actividad
La transmisión de movimiento por ruedas de fricción consiste en hacer resbalar dos ruedas en contacto entre sí al ejercer una cierta presión la una sobre la otra.
|
| Imagen 41. Kalipedia. Creative Commons. |
![]() |
| Imagen 42. Alma de herrero. Copyright. |
Este tipo de transmisión se realiza sobre ejes paralelos y, al contrario que en la transmisión por correa o cadena, el sentido de giro del eje motriz será contrario al del eje conducido.
Se usa cuando se pretenden transmitir pequeñas potencias, ya que al estar en contacto una rueda con otra se produce una pérdida de velocidad.
Al funcionar por rozamiento y presión, las ruedas sufren un continuo desgaste, también pueden ser interiores estas ruedas.
Se utilizan en el campo de la electrónica y de la informática, equipos de sonido, vídeo, impresoras...
En la imagen de la derecha se observa un reproductor de cintas de audio. Cuando se pone en marcha, los rodillos de fricción se aproximan y el rodillo tractor transmite el movimiento al otro rodillo.
Actividad
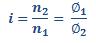
Con las ruedas de fricción se cumplen las mismas fórmulas que para las poleas:
|
|
|
La distancia entre ejes de las ruedas será:
En el caso de que las ruedas de fricción también sean interiores, esta distancia será:
¿Son verdaderas las siguientes afirmaciones referidas a las ruedas de fricción?
Las ruedas de fricción transmiten el movimiento entre árboles paralelos.
Verdadero
Falso
Las ruedas de fricción nos permiten transmitir potencias elevadas.
Verdadero
Falso
La correa de la transmisión sufre mucho desgaste.
Verdadero
Falso
La rueda conducida gira en el mismo sentido que la conductora.
Verdadero
Falso
La relación de transmisión es el cociente entre la velocidad del eje de salida y el de entrada.
Verdadero
Falso
